
- Suppose the sequence a₁,a₂,a₃,a₄,…,aₙ…
- An infinite sum of the form:
a₁+a₂+a₃+aₙ+…i called an infinite series (series)
- we can write it using summation notation as


a) A sequence aₙ converges to
α: n→∞, a_n→ α (As the number of terms increases, its values approaches α)

b) A sequence aₙdiverges to positive infinity: n→∞, a_n→∞
c) A sequence aₙ diverges to negative infinity: n→∞, a_n→-∞
d) A sequence aₙ vibrates: aₙ has no limit(does not approach to fixed value)
i.e. the value oscillate or vibrate back and forth between numbers.
![]()
- Consider an infinite geometric sequence Gₙ=rⁿ, where Gₙ=r and common ratio is r, then
i) if r>1. when n→∞ , then Gₙ→∞ (diverge)
ii) if r=1. when n→∞, then Gₙ→1 (converge).
iii) if |r|<1. when n→∞, then Gₙ→0 (converge)
iv) if r≤-1 when n→∞, then Gₙ vibrates
(no limit, diverge)
![]()
1. Find weather the given geometric sequences diverge, converge or vibrates as n approaches to infinity.



![]()
Find weather the given geometric sequences diverge, converge or vibrates as n approaches infinity


![]()
In this subtopic, we will be dealing with infinite series which are sums that involve infinitely many terms.
-
Since it is impossible to add up infinitely many numbers directly, we must define exactly what we mean by the sum of an infinite series.
-
Also, it is important to realize that not all infinite series actually have a sum so we will need to find which series do have sums and which do not.
![]()









Find the sum for each of the following, if it exists, assuming the patterns continue as in the first few terms.
a. 3+1+⅓ + ⅟₉ +…

b. 1+¾ + ⁹/₁₆ + ²⁷/₆₄ +…

c. ⅕ + ⅟₁₀ + ⅟₂₀ +…

d. ⅕ + (-⅟₁₀)+ ⅟₂₀+ (-⅟₄₀)+…

e. 7+⁷/₁₀ +⁷/₁₀₀ +⁷/₁₀₀₀ +…

![]()
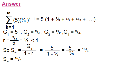
1. Find the following sum.

![]()
Find the sums for each of the following series








![]()
Recurring decimals or repeating decimals are rational numbers (fractions) whose representations as a decimal contain a pattern of digit that repeats indefinitely after decimal point.
-
Purely recurring decimals: decimals that start their recurring cycle immediately after the decimal point
-
Purely recurring decimals are converted to an irreducible fraction whose prime factors in the denominator can only be prime numbers other than 2 or 5.
-
i.e. the prime numbers from the sequence,{3,7,11,13,17,19,…}

are decimals that have some extra digits before the repeating the sequence of digits.
-
The repeating sequence may consist of just one or more digit or of any finite number of digits.
-
The number of digits in the repeating pattern is called the period
-
Mixed recurring decimals are converted to an irreducible fraction whose denominator is a product of 2’s and/ or 5’s besides the prime numbers from the sequence {3,7,11,13,17,19,…}
-
All recurring decimals are infinite decimals

1. Convert the following recurring decimal to a fraction


![]()
1. Convert the following recurring decimal to a fraction
![]()

![]()

![]()
