
![]()
Find the difference between consecutive terms of the following sequences
a. 4,9,14,19,…

b. -3,-5,-7,-9,….

c. 1,³/₂ ,2,⁵/₂,3,…

![]()
-
Arithmetic sequence or arithmetic progression is a sequence in which each term except the first term is obtained by adding a fixed ( positive or negative) to the preceding term.
-
The fixed number is called the common difference of the sequence and usually denoted by d
a) −4, −1, 2, 5, 8, 11,…is arithmetic sequence
1st term = -4, second term = -1
Common difference = second term - first term = -1 - (-4) = -1 + 4 = 3
b) 2, 4, 6, 8, 10, 12,…is arithmetic sequence
1st term = 2, second term = 4
common difference = second term - first term = 4 - 2 = 2
![]()
1. For the following arithmetic sequence,what are the first term ,third term and common difference ? Find the 6th term.
a. {3,5,7,9,11…}

b. {9,6,3,0,-3…}

2. Find the terms from 2nd to 5th of an arithmetic sequence when
a. The 1st term is 1,and the common difference is 5.

b. The 1st term is 2,and the common difference is -½.


Formula for the 𝒏th term of Arithmetic sequence
-
Arithmetic sequences can be represented by first-degree polynomial expressions.
Theorem:- If 𝑨ₙ is an arithmetic sequence with common difference 𝑑 and the 1st term 𝑨₁ then the nth term of the sequence is given by


![]()
Find the general term of the sequence 𝑨ₙ when the first term is 3 and common difference is 5.

![]()
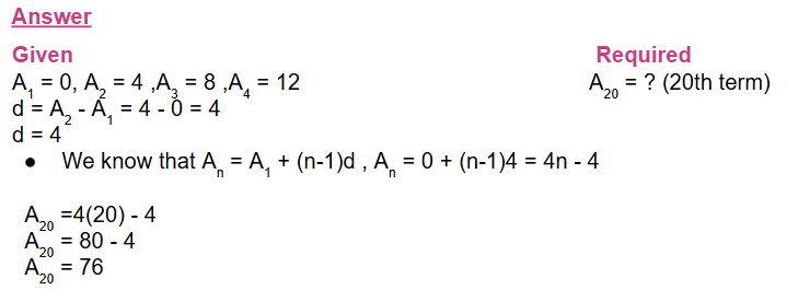
What is the 20th term of the sequence 0, 4, 8, 12,...?

![]()
1. Find the general terms of the sequence An , when
a. A₁=2 , d=3

b. A₁=10 , d=-5

2. What is the 10th term of the sequence, 10, 6, 2, -2,...?


Given an arithmetic sequence whose fourth term is 8 and sixth term is 2.
a. Find the general term of the sequence Aₙ

b. find 𝑨₈

![]()
Determine whether or not the sequence with the following general terms are arithmetic
a) 𝒂ₙ=2𝒏−1

b) 𝒂ₙ=5𝒏²+3

![]()
1. Find the general term of the arithmetic sequence Aₙ, when
a. A₄ = 15, 𝑨₈=27

b. A₅ = 20, A₁₀ = 0

2. Given arithmetic sequence with A₂ = 3 and A₅ = 24. Find Aₙ and A₁₁.

3. Determine whether or not the sequence with the following general terms are arithmetic.
a) 𝒂ₙ=7𝒏−3

b) 𝒂ₙ=5𝒏−3

c) 𝒂ₙ = 𝒏²+𝒏+1

d) 𝒂ₙ = 3ⁿ


The terms of arithmetic sequence that lie between two given terms are called the arithmetic mean.

![]()
Given that 2,x,10 is an arithmetic sequence, find x.

![]()
The first and the seventh terms of an arithmetic sequence are 8 and 38. Find the values of terms 2,3,4,5 and 6.

![]()
1. Given that the sequence 3, x, 7 is an arithmetic sequence, find x.

2. Given that the sequence 1/12,1/x,1/6 is an arithmetic sequence, find x.

3. Find the arithmetic mean of 4 and 14.

4. Insert four arithmetic means between 4 and 14 to create an arithmetic sequence.


![]()
A geometric sequence (or geometric progression) is one in which the ratio between consecutive terms is a non zero constant. This constant is called the common ratio.
i.e., {𝑮ₙ}𝒊𝒔 a geometric sequence, if and only if

![]()
a) The sequence 3, 9, 27, 81, 243, . . . is geometric with first term is 3 and common ratio, r = 3.
b)1, 5, 25, 125, 625 … is a geometric sequence with first term 1 and common ratio 5

Given the geometric progression 4, 16, 64, 256,1024,…, then find the common ratio r and the sixth term.


The first term of a geometric sequence is −1/3 and its common ratio is 1/2,. Find the 2nd ,3rd , 4th and 5th term.

![]()
1. For the geometric sequence 1,2,4,8,16 …. , find the common ratio, r , and the 6th term.

2. Give that the 1st term of a geometric sequence is 1, and its common ratio is 3, find the 2nd , 3rd , 4th and 5th term.


If {Gn } is a geometric progression with the first term Gn and common ratio r, then the nth term is given by


![]()
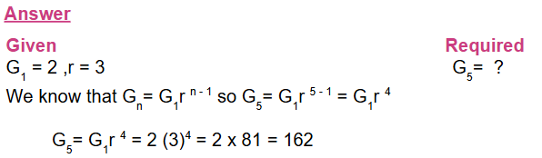
Find the 5th term of the geometric sequence whose first term is 2 and common ratio is 3.

![]()
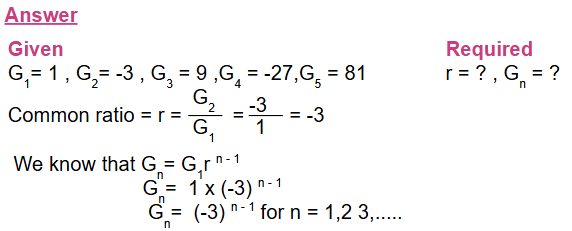
Find the nth term, Gn of the sequence 1,-3,9,-27,81,…

![]()
1. For each of the following, find the n-th term of the geometric sequence.
a. G₁=2, r=5
b. G₁=5, r=-3

c. G₁=2, r=-2
d. G₁=-3, r = -½

2. Find the n-th term Gn, of the following sequences
a. 3,6,12,24,...

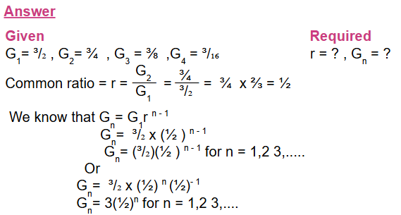
b. ³/₂ ,¾,⅜,³/₁₆ ,...

c. 27,9,3,1,...

3. Find the 5-th term of the geometric sequence whose first term is -3 and common ratio is -½.

![]()
When a, m and b are terms in a geometric sequence, then m is called the geometric between a and b (a≠0,b≠0,m≠0)
In geometric sequence
m/a = r = b/m
⇒ m =ab
M = ±√ab

![]()
When 4,x,9,… is a geometric sequence, find x(≠0)


Find a geometric mean between 5 and 10


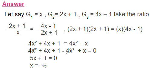
If x,2x+1,4x-1 are consecutive terms of a geometric sequence, find the value(s) of x(x≠0)

![]()
1. Find the geometric mean between 3 and 12.

2. In a geometric sequence, the 2nd term is 12 and the 6th term is 192. Find the 11th term

3. If x,4x,+3,7x+6 are consecutive terms of a geometric sequence , find the value(s) of x, x≠0.

4. Find three consecutive terms of a geometric sequence, such that their sum is 35 and their product is 1000. Let the terms be a/r , a and ar. (x≠0, r≠0).

