
-
Mathematics has an enormous number of uses, it used in different fields.

-
mathematics is present everywhere from distance, time and money to art, design and music
-
sequence is an arrangement of numbers in a definite order according to some rule.
-
Sequence and series help us to predict, evaluate and monitor the outcome of a situation or event and help us in decision making
![]()
1. For each pattern, find the number of objects in each figure. Then find the number of objects in the next figure. Explain your reasoning.

![]()
i. The sequence is 2,4,6,8,,10 so the next number of the object is determine by the previous number plus 2 so the next numbers are 10+ 2=12, 12+2=14 , 14+2=16, generally we can find the numbers by 2n…n ∈ N

![]()
ii. The sequence is 1,4,9,16 so the next number of the object is determined by the consecutive number square 1 = 1x1 ,4 = 2 x 2 , 9 = 3 x 3 , 16 = 4x4
So the next numbers are 5x5 = 25 , 6x6= 36 , 7x7=49
So generally we can find the numbers by n where n ∈ N
2. The monthly rent of a machine, Birr 200, is to be paid at the end of each month. If it is not paid at the end of the month, the amount due will increase Birr 3 per day. What will be the amount to be paid after a delay of
A. 3 days?
![]()

B. 10 days?
![]()
C. n days?
![]()

![]()
Definition 1: A sequence is a set of numbers
𝒂₁, 𝒂₂, 𝒂₃ , .... , 𝒂ₙ, . . . in a definite order of arrangement and formed according to a definite rule.
The number
𝒂₁ is called the first term,
𝒂₂ is the second term, and in general
𝒂ₙ is the 𝑛𝑡ℎ term of the sequence.

![]()
Sequence is a function whose domain is the set of all integers greater than or equal to a given integer m(usually 0 or 1)
-
A sequences usually denoted by 𝒂ₙ
-
The functional values 𝒂₁, 𝒂₂, 𝒂₃ , .... , 𝒂ₙ,... are called terms of the sequence and 𝒂ₙ is called general term.
Types of sequences depending on its last term

Finite sequence
-
A sequence sequence has a last term
-
{𝒂ₙ} = 𝒂₁, 𝒂₂, 𝒂₃, … 𝒂ₙ. is called finite sequence
-
Its domain is {1,2,3,…, 𝑛}
Example :- The set of numbers 1/3, 1/9, 1/27, 1/81 is finite sequence with 𝑛^𝑡ℎ term 𝒂ₙ =𝟏/3ⁿ , 𝑛=1,2,3, 4
Infinite sequence
-
A sequence that does not have last term
-
{𝒂ₙ} = 𝒂₁, 𝒂₂, 𝒂₃, … 𝒂ₙ, 𝑎ₙ₊₁,… … is called an infinite sequence.
-
Its domain is ℕ( the set of natural numbers)
Example :- The set of numbers 5,7,9,11,… is an infinite sequence with 𝑛𝑡ℎ term
𝒂ₙ = 2𝒏+3, for 𝑛 = 1,2,3,….

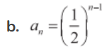
1. List the first five terms of each of the sequence whose general terms are given below where n is a positive integer:
a. 𝒂ₙ = 2n

![]()

![]()

![]()

2 . Draw the graph of the following sequence and observe the pattern of the sequence.
![]()

3. Bontu’s uncle gave 130 ethiopian birr to her in january, in the next month she saves money and has 210 ethiopian birr and in the third month she has 290 ethiopian birr. How much money will she have in the fourth, fifth sixth and seventh month respectively.



![]()
List the first eight terms of the fibonacci sequence and draw its graph.

![]()
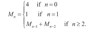
Professor Mulatu introduced a sequence of the form:
Example : - List the first six terms of the Mulatu sequence and draw its graph.

Recursive sequence
-
A sequence that relates to the general term 𝑎_𝑛 of a sequence where one or more of the terms that comes before it is said to be defined recursively.
-
The domain of recursive sequence can be the set of whole numbers.
Recursive rules :- use the value of one term to find the next term.
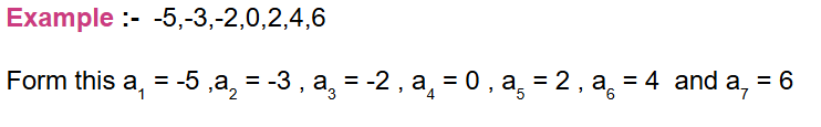
Example:- Find the first six terms if 𝑎₁= -3 and 𝑎ₙ= 𝑎₍ₙ₋₁₎ + 2

![]()
1. Find the 12th terms of Fibonacci sequence {1,1,2,3,5,8,...}.

2. List the first eight terms of Mulatu’s sequence and draw its graph.
