gara qabiyyee baafata darbi
Grade 11 Mathematics
0%
Previous
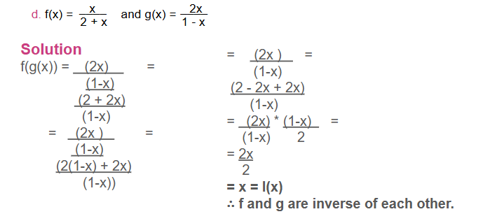
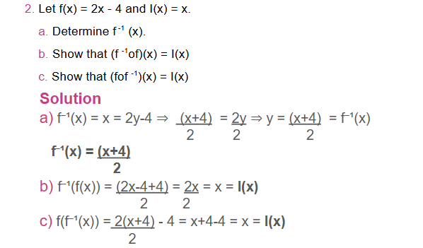
1.5 Inverse Functions and Their Graphs
Introduction
Announcements
Unit 1
1.1. Relations
1.2 Inverse of Relations and Their Graphs
1.3. Types of Functions
1.4 Composition of Functions
1.5 Inverse Functions and Their Graphs
1.6 Applications of Relations and Functions
Review Exercise
Unit 2
Unit 4
Unit 5
Unit 6
Review Question
Unit 7
Unit 8
Next
Side panel
Course
All categories
Grade 9
Grade 10
Grade 11
Grade 12
Fuula Kaa umsaa
Subjects
Afaan Oromoo (om)
አማርኛ (am)
Afaan Oromoo (om)
English (en)
You are currently using guest access
Log in
Course
Collapse
Expand
All categories
Grade 9
Grade 10
Grade 11
Grade 12
Fuula Kaa umsaa
Subjects
Expand all
Collapse all
Course Menu
Open course index
Math_123
Unit 1
1.5 Inverse Functions and Their Graphs
1.5 Inverse Functions and Their Graphs
Completion requirements
Mark as done
https://youtu.be/zBko2gbAxW8?si=gQZB5Cu6kA81tDUt
https://youtu.be/0h4wAq9WK6U?si=ibvbNBxhkJBW18jk
https://youtu.be/IyIG4wXiXW4?si=q7PP6zlkZH7TFt5x
Last modified: Wiixata, 29 Fulbaana 2025, 9:02 AM
Previous Activity
Jump to...
Jump to...
Announcements
1.1. Relations
1.2 Inverse of Relations and Their Graphs
1.3. Types of Functions
1.4 Composition of Functions
1.6 Applications of Relations and Functions
Review Exercise
Review Question
Next Activity